振动台做运输包装试验应该参照那些标准?
运输包装试验就是模拟产品的运输过程,通过试验找出产品的设计缺陷,可能存在的风险。提前预见产品在运输过程中的损失,且实现产品设计成本合理化,也是进行产品运输问题事故仲裁的有效手段。
振动是运输包装试验项主要组成部分之一,在运输过程中,产品会因振动发生表面擦伤、漆膜或镀膜脱落等问题,内部部件还会因反复施加作用力发生螺钉松动、部件变形弯曲、产生裂纹、断裂、脱落等现象。
产品运输所受的振动危害主要来自运输环境和运输工具。运输工具主要包括:公路运输、铁路运输、空运和海运。 在汽车运输过程中,公路路面的起伏不平、汽车发动机的固有振动、轮胎的充气程度和减震弹簧的性能等因素,都会使产品发生任意方向的振动; 在火车运输过程中,受牵引机车和铁轨接缝的影响,产品也会发生周期性的振动; 在海运过程中,产品除了受到发动机的振动影响外,还因水面风浪的颠簸发生低频振动; 在空运过程中,产品不但受到发动机高频激振的影响,还会受气流作用产生低频振动以及周期性的上下和左右摇摆。
在国内外的一些研究中,四大运输环境里船舶的随机振动量很小,火车和飞机的随机振动功率谱密度值比汽车小得多,汽车运输的机械条件最差。
运输包装振动试验的类型是从正弦定频→正弦扫频→随机振动发展而来的。正弦定频振动试验可以在选定的一个或数个频率(通常选试件的共振频率)下对试件进行振动试验,由于不可能测出试件所有的共振频率对产品的影响,同时,共振频率本身在试验过程中也是变化的,于是就发展了正弦扫频振动试验,该试验过程中对试件所能碰到的所有共振频率都能进行衡量。那为什么又要进行随机振动试验呢?这是因为在进行正弦扫频振动试验时,试件在各共振频率下依次发生共振,而随机振动试验时,试件各共振频率同时发生共振。
产品的振动试验分为正弦定频振动试验、正弦变频振动试验和随机振动试验三种。振动试验中需要确定的量值很多,三种振动试验中需要确定的量值如表所示。 1. 正弦定频振动
正弦定频振动试验方法有两种:
(1) 定加速度法
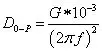
具体测试方法《GB/T 4857.7-2005》中有介绍,这里只介绍一个力学条件量值公式,因为振动频率、振动加速度和振幅三者之间存在着固定的数学关系,用振动状态方程式表示为:

式中,D0-p 为表示半峰值位移,单位为mm;G 为表示振动加速度,一般习惯用g 的倍数表示;f 为表示振动频率,单位为Hz。
(2) 定位移法
具体测试方法《GB/T 4857.7-2005》中有介绍,这里只介绍另外两种标准。
-
ASTM D999标准:位移一般确定为25.4mm,振动频率主要在低频范围内,一般为2-5Hz。
-
ISTA标准:ISTA 1A规定,当运输包装件质量小于68kg时;ISTA 1B规定,当运输包装件质量大于68kg时。

2. 正弦变频振动
正弦变频振动试验方法有两种,具体测试方法《GB/T 4857.10-2005》中有介绍,这里只介绍两个力学条件量值公式,倍频程和变频速率。
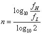
倍频程计算公式为:

式中,n 表示倍频程,单位为oct。
变频速率计算公式为:

式中,R 表示变频速率,单位为oct/min;T 表示变频时间,单位为min或s。
3. 随机振动
随机振动试验具体测试方法《GB/T 4857.23-2012》中有介绍,这里只介绍三个力学条件量值功率谱密度 (PSD)、加速度均方根 (Grms) 和振动时间。国内外通过采集运输数据,利用统计学制定出随机振动谱。以ASTM D4169-08为例,如图:

ASTM D 4169-08《运输包装箱和系统性能测试标准规范》中卡车随机振动第Ⅱ等级路谱
如图已知各频率下的PSD值,Grms 值则为功率谱密度谱线下的面积值开平方。PSD变化n 倍和Grms 变化m 倍,n 和m 直接是存在倍数关系的,如图:

利用这种关系,也是可以建立新的随机振动谱,Grms 值越大,随机振动的能量就越大。
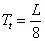
各种标准对试验时间有着不同的要求,GB/T 4857.23-2012推荐值为3小时。ASTM D4169-08规定振动时间的范围是0.5~6小时,推荐值为3小时。各标准试验时间都有计算方程式,以ISTA为例:
![]()
式中,Tt 为试验时间,单位为min;L 为运输距离,单位为km;8 为试验时间估算常数,标准中规定试验时间最大为6小时。
从这三种振动对应的力学条件和量值来看,它们都是独立的,不存在这个试验可以完全替代另一个试验,也不存在这个试验比另一个试验更加严酷。根据产品定义,正确选择试验项目、试验强度和试验时间可以让试验结果更接近现实。
GB/T 4857.10-2005 包装 运输包装件基本试验 第10 部分:正弦变频振动试验方法 GB/T 4857.7-2005 包装 运输包装件基本试验 第7 部分:正弦定频振动试验方法 GB/T 4857.23-2012 包装 运输包装件基本试验 第23 部分:随机振动试验方法 ISTA 1A、ISTA 1B、ISTA 3E、ISTA 3H ASTM D4728-06《运输包装箱随机振动测试》 ASTM D4169-08《运输包装箱和系统性能测试标准规范》 ASTM D999







